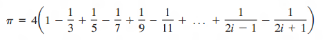
Problem:
You can computer π by using the following series seen below. Write a program that displays the value for i 10000, 20000, and 100000.Output:
For i = 10000 pi has a value of 3.1414926535900367
For i = 20000 pi has a value of 3.1415426535898203
For i = 30000 pi has a value of 3.1415593202564684
For i = 40000 pi has a value of 3.1415676535897927
For i = 50000 pi has a value of 3.141572653589808
For i = 60000 pi has a value of 3.1415759869231388
For i = 70000 pi has a value of 3.1415783678755265
For i = 80000 pi has a value of 3.1415801535898193
For i = 90000 pi has a value of 3.141581542478711
For i = 100000 pi has a value of 3.1415826535898224
For i = 20000 pi has a value of 3.1415426535898203
For i = 30000 pi has a value of 3.1415593202564684
For i = 40000 pi has a value of 3.1415676535897927
For i = 50000 pi has a value of 3.141572653589808
For i = 60000 pi has a value of 3.1415759869231388
For i = 70000 pi has a value of 3.1415783678755265
For i = 80000 pi has a value of 3.1415801535898193
For i = 90000 pi has a value of 3.141581542478711
For i = 100000 pi has a value of 3.1415826535898224
Solution:
public class Pi
{
public static void main (String[] args)
{
double n =0;
for (int i =10000;i<=100000;i+=10000)
{
for (double j =1;j<=i;j+=2)
{
n+= ( ( 1.0/((2.0*j)-1.0) ) - ( 1.0/((2.0*j)+1.0) ) );
}
System.out.println("For i = " + i + " pi has a" +
"value of " + (double) 4*n);
n=0;
}
}
}

No comments:
Post a Comment